Định mức khoan cấy bulong tiêu chuẩn (Cập nhật 2025) – Hướng dẫn đầy đủ từ A–Z | Công ty Minh Anh
Định mức khoan cấy bulong Trong thi công kết cấu, khoan cấy bulong (neo cấy hóa chất / chemical anchor / bulong hóa chất) là giải pháp cực kỳ phổ biến để lắp đặt chân đế máy, lan can, kết cấu thép, giá đỡ M&E, thang máng cáp, mặt dựng… Tuy nhiên, thực tế cho thấy rất nhiều công trình bị đội chi phí, chậm tiến độ hoặc không đạt tải chỉ vì 2 lý do:
-
Tính sai định mức (hao phí keo, nhân công, thời gian)
-
Làm sai quy trình tiêu chuẩn (đặc biệt là vệ sinh lỗ khoan và thời gian đóng rắn).
Bài viết này của Công ty Minh Anh tổng hợp theo hướng “dùng được ngay” cho bóc tách khối lượng – dự toán – thi công – nghiệm thu, gồm: khái niệm định mức, yếu tố ảnh hưởng, quy trình chuẩn, công thức tính keo, bảng tham khảo M10–M24, năng suất nhân công tham khảo và checklist kiểm soát chất lượng.
Lưu ý quan trọng: “Định mức tiêu chuẩn” trong bài là khung tham chiếu thực hành tốt để lập dự toán/triển khai. Khi thiết kế chịu lực, cần tuân theo hồ sơ thiết kế – tiêu chuẩn áp dụng – chứng chỉ/ETA/ICC-ES của vật liệu neo và điều kiện thực tế của công trình.

Ứng dụng của thi công khoan cấy bulong hoá chất
>>>XEM THÊM: BULONG HOÁ CHẤT- BULONG NỞ 3 CÁNH – BULONG LIÊN KẾT
1) Định mức khoan cấy bulong là gì?
Định mức khoan cấy bulong là tập hợp hao phí cần thiết để hoàn thành một khối lượng công việc khoan–cấy neo, thường tính cho 1 lỗ hoặc 1 bộ bulong. Định mức thường gồm 3 nhóm:
-
Định mức vật tư: mũi khoan hao mòn, keo cấy (epoxy/vinylester…), chổi vệ sinh lỗ, khí nén/hút bụi, băng keo/đệm, vật tư phụ.
-
Định mức nhân công: thời gian định vị, khoan, vệ sinh lỗ, bơm keo, cấy bulong, chờ đóng rắn, siết lực/kiểm tra.
-
Định mức máy – thiết bị: máy khoan búa/khoan điện, máy hút bụi chuyên dụng, súng bơm keo, máy thổi, dụng cụ đo độ sâu, cờ lê lực…
Nói đơn giản: tính đúng định mức = dự toán đúng + tiến độ chắc + chất lượng đạt tải.
2) Vì sao phải tính đúng Định mức khoan cấy bulong ?
Tính đúng định mức giúp bạn:
-
Báo giá chính xác (không “thiếu keo”, không “lụt dự toán”).
-
Chốt tiến độ hợp lý (không kẹt vì chờ keo đóng rắn, thiếu thiết bị vệ sinh).
-
Giảm rủi ro nghiệm thu (neo không đạt tải, phải khoan lại → mất gấp đôi chi phí).
-
Tối ưu mua vật tư (đúng loại keo, đúng số tuýp, đúng hạn dùng).

Ứng dụng khoan cấy bulong theo định mức Minh Anh
>>>XEM THÊM :KEO – HOÁ CHẤT CẤY BULONG
3) Các yếu tố làm thay đổi Định mức khoan cấy bulong (đừng bỏ qua!)
3.1. Kích thước bulong và chiều sâu cấy
-
Bulong càng lớn (M16, M20, M24…), lỗ khoan lớn hơn và sâu hơn → tăng thời gian khoan, tăng lượng keo.
3.2. Cường độ và tình trạng bê tông
-
Bê tông cường độ cao, bê tông “già”, có đá lớn → khoan chậm hơn, mũi khoan mòn nhanh hơn.
-
Bê tông rỗng, bê tông tổ ong, bê tông nứt → phải thay giải pháp (sàng lọc lỗ, dùng lưới/ống lót, thay loại keo…) → định mức khác.
3.3. Phương pháp khoan & thiết bị vệ sinh lỗ
-
Có máy hút bụi + mũi khoan hút thường nhanh và sạch hơn.
-
Dùng thổi khí thủ công, không chổi đúng cỡ → dễ phải làm lại, hoặc neo không đạt tải (chi phí ẩn rất lớn).
3.4. Loại keo và điều kiện nhiệt độ
-
Keo epoxy/vinylester có thời gian gel/đóng rắn khác nhau. Nhiệt độ thấp → lâu đóng rắn → kéo dài tiến độ.
3.5. Mặt bằng thi công
-
Trên cao, không gian hẹp, thi công ban đêm, vị trí sát mép, gần cốt thép dày… đều làm giảm năng suất.

Ứng dụng khoan cấy bulong
>>>>XEM THÊM: MŨI KHOAN BÊ TÔNG MINH ANH CUNG CẤP
4) Quy trình khoan cấy bulong theo đúng Định mức khoan cấy bulong
Dưới đây là quy trình theo “thực hành tốt” mà các đội thi công chuyên nghiệp thường áp dụng:
Bước 1: Khảo sát – định vị – kiểm tra xung đột
-
Xác định vị trí neo theo bản vẽ, kiểm tra có vướng thép, ống điện/nước, cáp ngầm không.
-
Đánh dấu tim lỗ, kiểm tra khoảng cách mép và khoảng cách giữa các neo.
Bước 2: Khoan lỗ đúng đường kính và độ sâu
-
Chọn đường kính lỗ khoan theo bulong và khuyến nghị của hệ neo/keo (không “ước chừng”).
-
Khoan đúng độ sâu cấy (embedment depth), có đo kiểm bằng thước đo sâu.
Bước 3: Vệ sinh lỗ khoan (điểm quyết định đạt tải)
Khuyến nghị tối thiểu: thổi – chải – thổi hoặc hút – chải – hút theo đúng trình tự.
-
Chổi vệ sinh phải đúng đường kính lỗ.
-
Không vệ sinh đúng = keo không bám nền = dễ trượt neo/tuột tải.
Bước 4: Bơm keo đúng kỹ thuật
-
Lắp vòi trộn, bóp bỏ phần keo đầu (để đảm bảo trộn đều).
-
Bơm từ đáy lỗ ra ngoài, tránh bọt khí, lượng keo đủ theo tính toán.
Bước 5: Cấy bulong/ty ren
-
Xoay nhẹ khi đưa ty ren vào để keo phủ đều.
-
Căn chỉnh thẳng, đúng cao độ, cố định nếu cần.
Bước 6: Chờ đóng rắn và hoàn thiện
-
Chờ đủ thời gian đóng rắn theo nhiệt độ môi trường và datasheet keo.
-
Siết lực đúng mô-men, lắp bản mã, nghiệm thu.
>>>XEM THÊM : SÚNG BƠM KEO CÁC HÃNG MINH ANH PHÂN PHỐI
5) Cách tính định mức keo (công thức + hệ số hao hụt) – Định mức khoan cấy bulong
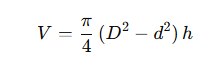
Muốn dự toán chuẩn, bạn nên tính theo thể tích hình trụ của “khoảng rỗng” giữa lỗ khoan và ty ren:
Công thức tính thể tích keo cho 1 lỗ

Trong đó:
-
D = đường kính lỗ khoan (m)
-
d = đường kính ty ren/bulong (m)
-
h = chiều sâu cấy hữu hiệu (m)
-
V = thể tích keo lý thuyết (m³)
Đổi sang ml:
-
1 m³ = 1,000,000 ml
Hệ số hao hụt khuyến nghị để ra “định mức”
Thực tế nên nhân thêm k = 1.10 đến 1.25 (10–25%) do:
-
keo bỏ phần đầu vòi trộn,
-
hao hụt khi bơm,
-
lỗ không hoàn hảo (xước thành, rỗ nhẹ),
-
thao tác công nhân.
Định mức keo thực tế/1 lỗ = V × k
6) Bảng tham khảo nhanh (M10–M24): D lỗ – h cấy – lượng keo ước tính ( Định mức khoan cấy bulong )
Bảng dưới đây dùng cho ước tính dự toán và lập kế hoạch vật tư. Khi thi công/thiết kế chịu lực, hãy ưu tiên theo khuyến nghị của hệ neo và bản vẽ kết cấu.
Giả định tham khảo thường gặp:
-
Đường kính lỗ lớn hơn ty ren khoảng +2 đến +4 mm (tùy hệ).
-
Chiều sâu cấy tham khảo mức phổ biến 10d (d = đường kính ty ren).
-
Hệ số hao hụt k = 1.15.
6.1 Định mức keo cho 1 lỗ (ml/lỗ) – chuẩn để dự toán – Định mức khoan cấy Bulong

Bảng tham khảo nhanh (M10–M24): D lỗ – h cấy – lượng keo ước tính
Cách dùng bảng:
-
Nếu công trình của bạn có h cấy khác (ví dụ 12d, 15d), lượng keo sẽ tăng tương ứng theo h.
-
Nếu lỗ khoan lớn hơn (do mũi khoan/tiêu chuẩn hệ), lượng keo tăng theo (D² – d²).
Ví dụ bóc tách nhanh (dễ áp dụng)
Bạn có 300 lỗ M16, dùng D=18mm, h=160mm.
-
Keo định mức ~ 52 ml/lỗ → tổng ~ 15,600 ml = 15.6 lít
-
Nếu dùng tuýp 400 ml → cần ~ 39 tuýp (nên dự phòng thêm 5–10% cho phát sinh/đổi vòi).
6.2. Quy đổi số lỗ / 1 tuýp theo từng loại keo (làm tròn xuống) – Định mức khoan cấy Bulong

Quy đổi số lỗ / 1 tuýp theo từng loại keo (làm tròn xuống)
Cách chỉnh nếu công trình bạn khác h
Giữ nguyên D và d, chỉ đổi h:
Keo định mức mới = Keo định mức trong bảng × (h mới / h bảng)
Nếu bạn đưa mình “chiều sâu cấy thực tế” của từng cỡ (ví dụ M16 cấy 200mm, M20 cấy 240mm…), mình sẽ xuất lại 2 bảng trên đúng theo công trình của bạn
>>>XEM THÊM : THANH REN – TY REN
7) Định mức nhân công – máy thi công (tham khảo thực tế) – Định mức khoan cấy bulong
Năng suất phụ thuộc rất mạnh vào điều kiện công trường. Dưới đây là khung tham khảo cho đội thi công có đủ dụng cụ vệ sinh (hút bụi/chổi đúng cỡ) và mặt bằng tương đối thuận:
7.1. Năng suất theo cỡ neo (tham khảo)
-
M10–M12: 120–200 lỗ/ngày/đội (2 người)
-
M16: 80–140 lỗ/ngày/đội
-
M20: 40–90 lỗ/ngày/đội
-
M24: 25–60 lỗ/ngày/đội
7.2. Các “mốc thời gian” cấu thành 1 lỗ (tham khảo)
-
Định vị + đo: 0.5–1 phút
-
Khoan: 1–6 phút (tùy D/h và bê tông)
-
Vệ sinh lỗ: 1–2 phút
-
Bơm keo + cấy ty: 1–2 phút
→ Tổng thao tác: thường 3.5–11 phút/lỗ (chưa tính thời gian chờ đóng rắn, vì chờ đóng rắn thường không “ăn” toàn bộ nhân công nếu tổ chức thi công theo mũi).
Mẹo tổ chức thi công để không chết tiến độ: chia theo “dây chuyền”
-
Người 1 khoan + đo độ sâu
-
Người 2 vệ sinh + bơm keo + cấy
Làm theo dây chuyền thường giúp ổn định định mức và giảm lỗi.

Khoan cấy thép Minh Anh Định mức khoan cấy Bulong
>>>XEM THÊM : ĐẤT SÉT BỊT TỦ ĐIỆN – ĐẤT SÉT CHỐNG CHÁY
8) Checklist QC để đạt tải & không đội định mức – Định mức khoan cấy bulong
Bạn có thể dùng checklist này để tự nghiệm thu nội bộ:
-
Xác nhận đúng loại ty ren/bulong, đúng mác thép, đúng kích thước
-
Đúng đường kính lỗ khoan (D) và chiều sâu (h)
-
Vệ sinh lỗ đúng quy trình (thổi/hút + chải)
-
Keo còn hạn, bảo quản đúng nhiệt độ, vòi trộn mới/đúng loại
-
Bơm keo từ đáy lên, không bọt khí
-
Ty ren đưa vào có xoay nhẹ, keo tràn miệng ở mức hợp lý
-
Không tác động/siết tải khi keo chưa đủ thời gian đóng rắn
-
Siết lực đúng mô-men (nếu yêu cầu), lắp bản mã chuẩn
-
Nếu là hạng mục quan trọng: cân nhắc test kéo nhổ (pull-out test) theo tỷ lệ mẫu
9) Lỗi thường gặp khiến “tốn keo – tốn công – không đạt tải” – Định mức khoan cấy bulong
-
Không vệ sinh lỗ hoặc vệ sinh qua loa → keo bám bụi → mất tải.
-
Bơm keo sai cách (không từ đáy lỗ) → bọt khí → rỗng keo.
-
Tính thiếu hao hụt (không cộng hệ số k) → thiếu keo, ngừng thi công giữa chừng.
-
Khoan sai đường kính/độ sâu → vừa tốn keo vừa không đạt thông số thiết kế.
-
Siết lực quá sớm khi keo chưa đóng rắn → phá liên kết keo–bê tông.
-
Thi công sát mép/đụng cốt thép không xử lý → nứt vỡ, phải khoan lại.
10) Giải pháp tối ưu chi phí & tiến độ khi khoan cấy bulong (khuyến nghị 2025)
-
Chuẩn hóa bộ thông số D–h theo từng cỡ bulong trong dự án (lập “bảng chuẩn công trường”).
-
Dùng hệ vệ sinh lỗ đúng bài: hút bụi chuyên dụng + chổi đúng cỡ (chi phí nhỏ nhưng giảm lỗi cực lớn).
-
Tổ chức thi công theo dây chuyền (khoan → vệ sinh → bơm/cấy).
-
Bóc tách keo theo công thức và quản lý định mức theo “ml/lỗ” để kiểm soát thất thoát.
-
Lập kế hoạch theo thời gian đóng rắn để không bị “kẹt lịch” (đặc biệt khi cần siết lực/đặt tải sớm).
Về mặt website/SEO, ngoài nội dung, Google cũng nhấn mạnh trải nghiệm trang (page experience) và Core Web Vitals là các tín hiệu được hệ thống xếp hạng sử dụng; tối ưu tốc độ/hiển thị giúp người đọc ở lại lâu hơn và tăng hiệu quả chuyển đổi.
11) FAQ – Câu hỏi thường gặp
Q1. “ Định mức khoan cấy bulong tiêu chuẩn” có áp dụng giống nhau cho mọi công trình không?
Không. Định mức thay đổi theo mác bê tông, chiều sâu cấy, phương pháp vệ sinh lỗ, thiết bị, mặt bằng và loại keo. Bạn nên dùng định mức như khung tham chiếu, rồi hiệu chỉnh theo điều kiện thực tế.
Q2. Vì sao vệ sinh lỗ khoan lại quan trọng đến vậy?
Vì bụi khoan là “lớp cách ly” làm keo không bám bê tông. Vệ sinh sai thường gây tuột tải hoặc phải làm lại → đội định mức gấp nhiều lần.
Q3. Có thể ước tính nhanh lượng keo mà không cần công thức không?
Có thể dùng bảng tham khảo, nhưng dự án lớn nên tính theo công thức để mua vật tư chuẩn và kiểm soát hao hụt.
Q4. Hệ số hao hụt keo (k) nên lấy bao nhiêu?
Thường 1.10–1.25 tùy tay nghề và loại tuýp/súng bơm. Công trình nhiều lỗ nhỏ thường hao hụt do thay vòi trộn; công trình lỗ lớn hao hụt do bơm/định vị.
Q5. Khi nào nên test kéo nhổ (pull-out test)?
Khi hạng mục quan trọng chịu lực lớn, nghi ngờ chất lượng nền bê tông, hoặc cần nghiệm thu chặt theo yêu cầu chủ đầu tư/tư vấn giám sát.
Q6. Công ty Minh Anh có hỗ trợ gì cho dự toán và thi công khoan cấy bulong?
Minh Anh có thể hỗ trợ tư vấn bóc tách khối lượng – tính định mức keo – đề xuất quy trình thi công & checklist QC, giúp bạn tối ưu chi phí và giảm rủi ro làm lại (đặc biệt ở các hạng mục nhiều lỗ neo, tiến độ gấp).
12. Liên hệ với chúng tôi để được tư vấn dịch vụ Khoan cấy thép – Bulong
Chúng tôi chuyên nhận Thi công khoan cấy thép, khoan cấy bu lông chuyên nghiệp cho công trình dân dụng và công nghiệp:
Kỹ thuật viên giàu kinh nghiệm, đào tạo bài bản
Vật tư đạt chuẩn – keo có CO/CQ rõ ràng
Báo giá nhanh – khảo sát miễn phí
Hỗ trợ 24/7 cho dự án gấp, tiến độ khắt khe
Ngoài ra Công ty chúng tôi chuyên cung cấp các loại bulong liên kết, bulong hoá chất, bu lông nở 3 cánh, thanh ren, ốc vít, đất sét chống cháy, mũi khoan bê tông, súng bơm keo, hoá chất cấy thép chính hãng,… đầy đủ chứng chỉ CO-CQ, phù hợp với các tiêu chuẩn kỹ thuật trong xây dựng và công nghiệp. Với đội ngũ kỹ thuật dày dặn kinh nghiệm, chúng tôi cam kết mang đến giải pháp cấy thép hiệu quả – bền vững – an toàn cho mọi công trình.
Thông tin liên hệ:
- Công Ty TNHH TM Xây Dựng Công Trình Minh Anh
Địa chỉ: Số 1/207 , Xuân Đỉnh, Bắc Từ Liêm, Hà Nội
Hotline/Zalo: 0983753846
Website: khoancaythep.com.vn
Minh Anh – Đồng hành cùng công trình bền vững của bạn!
Tag: định mức khoan cấy bulong, khoan cấy bulong tiêu chuẩn, định mức keo cấy thép, bulong hóa chất, neo hóa chất, chemical anchor, thi công cấy ty ren, đường kính lỗ khoan bulong, chiều sâu cấy bulong, nghiệm thu khoan cấy bulong, Công ty Minh Anh


